Tugas Materi 7 : Finite State Automata & Non Finite State Automata
Materi Finite State Automata & Non Finite State Automata
Dalam artikel kali ini saya akan menjelaskan tentang Finite State Automata dan Non Finite State Automata
Bahasan untuk materi ini adalah :
1. Penerapan FSA
2. DFA
3. NDFA/NFA
4. Ekuivalen antar DFA
5. Reduksi Jumlah State pada FSA
1. Penerapan FSA
2. DFA
3. NDFA/NFA
4. Ekuivalen antar DFA
5. Reduksi Jumlah State pada FSA
1. PENERAPAN FINITE STATE AUTOMATA
Finite state automata adalah mesin abstrak berupa sistem model matematika dengan masukan dan keluaran diskrit yang dapat mengenali bahasa paling sederhana (bahasa reguler) dan dapat diimplementasikan secara nyata.
Finite State Automata (FSA) adalah model matematika yang dapat menerima input dan mengeluarkan output yang memiliki state yang berhingga banyaknya dan dapat berpindah dari satu state ke state lainnya berdasarkan input dan fungsi transisi. Finite state automata tidak memiliki tempat penyimpanan/memory, hanya bisa mengingat state terkini.
Finite State Automata dinyatakan oleh pasangan 5 tuple, yaitu:
M=(Q , Σ , δ , S , F )
Q = himpunan state
Σ = himpunan simbol input
δ = fungsi transisi δ : Q × Σ
S = state awal / initial state , S ∈ Q
F = state akhir, F ⊆ Q
Karakteristik Finite Automata
1.Setiap Finite Automata memiliki keadaan dan transisi yang terbatas.
2.Transisi dari satu keadaan ke keadaan lainnya dapat bersifat deterministik atau non-deterministik.
3.Setiap Finite Automata selalu memiliki keadaan awal.
4.Finite Automata dapat memiliki lebih dari satu keadaan akhir.
jika setelah pemrosesan seluruh string, keadaan akhir dicapai, artinya otomata menerima string tersebut.
Setiap FSA memiliki:
1.Himpunan berhingga (finite) status (state)
• Satu buah status sebagai status awal (initial state), biasa dinyatakan q0.
• Beberapa buah status sebagai status akhir (final state).
2.Himpunan berhingga simbol masukan
3.Fungsi transisi
Menentukan status berikutnya dari setiap pasang status dan sebuah simbol masukan.
Cara Kerja Finite State Automata
Finite State Automata bekerja dengan cara mesin membaca memori masukan berupa tape yaitu 1 karakter tiap saat (dari kiri ke kanan) menggunakan head baca yang dikendalikan oleh kotak kendali state berhingga dimana pada mesin terdapat sejumlah state berhingga.
Finite State Automata bekerja dengan cara mesin membaca memori masukan berupa tape yaitu 1 karakter tiap saat (dari kiri ke kanan) menggunakan head baca yang dikendalikan oleh kotak kendali state berhingga dimana pada mesin terdapat sejumlah state berhingga.
Finite State Diagram (FSD)
Finite State Automata dapat dimodelkan dengan Finite State Diagram (FSD) dapat juga disebut State Transition Diagram. Sistem transisi adalah sistem yang tingkah lakunya disajikan dalam bentuk keadaan-keadaan (states). Sistem tersebut dapat bergerak dari state yang satu ke state lainnya sesuai dengan input yang diberikan padanya.
Fungsi Transisi (d) adalah representasi matematis atas transisi keadaan.
S = himpunan alfabet.
Q = himpunan keadaan-keadaan.
d = Q x S à Q
Finite State Diagram terdiri dari:
1.Lingkaran menyatakan state
Lingkaran diberi label sesuai dengan nama state tersebut. Adapun pembagian lingkaran adalah:
•Lingkaran bergaris tunggal berarti state sementara
•Lingkaran bergaris ganda berarti state akhir
2.Anak Panah menyatakan transisi yang terjadi.
Label di anak panah menyatakan simbol yang membuat transisi dari 1 state ke state lain. 1 anak panah diberi
label start untuk menyatakan awal mula transisi dilakukan.
Finite Automata selalu dalam kondisi yang disebut state awal (initial state) pada saat Finite Automata mulai membaca tape. Perubahan state terjadi pada mesin ketika sebuah karakter berikutnya dibaca. Ketika head telah sampai pada akhir tape dan kondisi yang ditemui adalah state akhir, maka string yang terdapat pada tape dikatakan diterima Finite Automata (String-string merupakan milik bahasa bila diterima Finite Automata bahasa tersebut).
Contoh
FSA : pencek parity ganjil
FSA : pencek parity ganjil
FSA dari bentuk diatas
• Lingkaran menyatakan state/kedudukan
• Label pada lingkaran adalah nama state tersebut
• Busur menyatakan transisi yaitu perpindahan
kedudukan/state.
• Label pada busur adalah simbol input.
• Lingkaran didahului sebuah busur tanpa label
menyatakan state awal
• Lingkaran ganda menyatakan state akhir/final
Bila mesin mendapatkan input
Input: 1101
Urutan state yang terjadi:
Genap—1– ganjil –1—
genap—0—genap—1—
ganjil, (berakhir pada ganjil)
sehingga ‘1101’ diterima oleh
mesin.
Input: 101
Urutan state yang terjadi:
Genap—1—ganjil—0—
ganjil—1—genap, (berakhir
pada genap) sehingga ‘101’
ditolak oleh mesin.
Tupel:
M = (Q, ∑, δ, S, F)
Q = {genap, ganjil}
Σ = {0,1}
S = genap
F = {ganjil}
FSA juga terbagi menjadi dua jenis, yaitu:
1. DFA (Deterministic Finite Automata)
Artinya: Dari suatu state ada tepat satu state berikutnya untuk setiap simbol input yang diterima
1. DFA (Deterministic Finite Automata)
Artinya: Dari suatu state ada tepat satu state berikutnya untuk setiap simbol input yang diterima
2. NFA/NDFA (Nondeterministic Finite Automata)
Artinya: Dari suatu state bisa terdapat 0, 1 atau lebih busur keluar (transisi) berlabel simbol input yang samaDeterministic Finite Automata (DFA) → M = (Q, ∑, δ, S, F), dimana :
Q : Himpunan state/kedudukan
∑ (Sigma) : Himpunan simbol input
δ (Delta) : Fungsi transisi, dimana δ ∈ Q x ∑ → Q
S ∈ : State awal (initial state)
F ⊆ : Himpunan state akhir (final state)
Language → L(M) : (x | δ (S,x) di dalam F)
Contoh :
Pengujian untuk menerima bit string dengan banyaknya 0 genap, serta banyaknya 1 genap.
0011 : diterima
10010 : ditolak, karena banyaknya 0 ganjil
Diagram transisi-nya :
DFA nya :
Q = {q0 , q1 , q2 , q3 }
Σ = {0,1}
S = q0
F = { q0}
fungsi transisi :
δ( q0,011)= δ( q2,11) =δ( q3,1)= q2 Ditolak
δ( q0,1010)= δ( q1,010) =δ( q3,10)=δ( q2,0)= q0 Diterima
3. NDFA/NFA(NON DETERMINISTIC FINITE AUTOMATA)
Non Deterministic Finite Automata (NFA) → M = (Q, ∑, δ, S, F), dimana :
Q : Himpunan state/kedudukan
∑ (Sigma) : Himpunan simbol input
δ (Delta) : Fungsi transisi, dimana δ ∈ Q x (∑ ⋃ ε) → P(Q)
P(Q) : set of all subsets of Q
S ∈ : State awal (initial state)F ⊆ : Himpunan state akhir (final state)
Language → L(M) : (x | δ (S,x) di dalam F)
Contoh :
Berikut ini sebuah contoh NFA (Q, ∑, δ, S, F). dimana :
Q = {q0, q1, q2, q3, q4}
∑= {a, b,c}
S = q0
F = {q4}
δ diberikan dalam tabel berikut :
Digram Transisi yang dapat dibuat :
L(M) = {aabb,...}
Sebuah kalimat di terima NFA jika:
Sebuah kalimat di terima NFA jika:
Salah satu tracking-nya berakhir di state AKHIR, atau
himpunan state setelah membaca string tersebut mengandung state
AKHIR
Telusurilah, apakah kalimat-kalimat berikut diterima NFA di atas :
ab, abc, aabc, aabb
Jawab:
δ(q0 ,ab) ⇒ δ(q0,b) ∪ δ(q1 ,b) ⇒ {q0, q2} ∪ {q1 } = {q0 , q1 , q2}
Himpunan state TIDAK mengandung state AKHIR ⇒ kalimat ab tidak
diterima
δ(q0 ,abc) ⇒ δ(q0 ,bc) ∪ δ(q1 ,bc) ⇒ { δ(q0 ,c) ∪ δ(q2 ,c)}∪δ(q1 , c)
{{ q0 , q3 }∪{ q2 }}∪{ q1 } = {q0 , q1 , q2 ,q3 }
Himpunan state TIDAK mengandung state AKHIR ⇒ kalimat abc tidak
diterima
4. EKUIVALEN ANTAR DFA
Dua DFA M1 dan M2 dinyatakan ekivalen apabila L(M1) = L(M2)
5. REDUKSI JUMLAH STATE
Untuk mendapatkan FSA yang efisien maka perlu dievaluasi dan direduksi jumlah state dari FSA tersebut dengan tidak mengurangi kemampuan semula dalam menerima suatu bahasa.Setiap pasangan state didalam suatu FSA dapat dikelompokan atas : • Distinguishable state • Indistinguishable state
Distinguishable State
Distinguishable state adalah pasangan state yang dapat dibedakanDua buah state p dan q dari sebuah FSA dikatakan distinguishable jikaada string w ∈ ∑* sedemikian sehingga :δ (q, w) ∈ Fsedangkan δ (p, w) ∉ F
Indistinguishable State
Indistinguishable state adalah pasangan state yang tidak dapat dibedakan.Dua buah state p dan q dari sebuah FSA dikatakan indistinguishable jika :δ (q, w) ∈ F begitu pula δ (p, w) ∈ F, danδ (q, w) ∉ F begitu pula δ (p, w) ∉ Funtuk semua w ∈ ∑*
Relasi-relasi
Pasangan dua buah state memiliki salah satu kemungkinan : distinguishable atau indistinguishable tetapi tidak kedua-duanya.
Dalam hal ini terdapat sebuah relasi :Jika p dan q indistinguishable,dan q dan r indistinguishablemaka p, r indistinguishabledan p,q,r indistinguishable
Dalam melakukan evaluasi state, didefinisikan suatu relasi :Untuk Q adalah himpunan semua stateD adalah himpunan state-state distinguishable, dimana D ⊂ QN adalah himpunan state-state indistinguishable, dimana N ⊂ Qx ∈ Njika x ∈ Q dan x ∉ D
Step :• Hapuslah semua state yg tidak dapat dicapai dari state awal (useless state)• Buatlah semua pasangan state (p, q) yang distinguishable, dimana p ∈ F dan q ∉F. Catat semua pasangan-pasangan state tersebut.• Cari state lain yang distinguishable dengan aturan: “Untuk semua (p, q) dan semua a ∈ ∑, hitunglah δ (p, a) = pa dan δ (q, a) = qa” Jika pasangan (pa, qa) adalah pasangan state yang distinguishable maka pasangan (p, q) juga termasuk pasangan yang distinguishable.• Semua pasangan state yang tidak termasuk sebagai state yang distinguishable merupakanstate-state indistinguishable.• Beberapa state yang indistinguishable dapat digabungkan menjadi satu state.•Sesuaikan transisi dari state-state gabungan tersebut.
Jawab :
1. State q5 tidak dapat dicapai dari state awal dengan jalan apapun (useless state). Hapus state q5.
Distinguishable state adalah pasangan state yang dapat dibedakanDua buah state p dan q dari sebuah FSA dikatakan distinguishable jikaada string w ∈ ∑* sedemikian sehingga :δ (q, w) ∈ Fsedangkan δ (p, w) ∉ F
Indistinguishable State
Indistinguishable state adalah pasangan state yang tidak dapat dibedakan.Dua buah state p dan q dari sebuah FSA dikatakan indistinguishable jika :δ (q, w) ∈ F begitu pula δ (p, w) ∈ F, danδ (q, w) ∉ F begitu pula δ (p, w) ∉ Funtuk semua w ∈ ∑*
Relasi-relasi
Pasangan dua buah state memiliki salah satu kemungkinan : distinguishable atau indistinguishable tetapi tidak kedua-duanya.
Dalam hal ini terdapat sebuah relasi :Jika p dan q indistinguishable,dan q dan r indistinguishablemaka p, r indistinguishabledan p,q,r indistinguishable
Dalam melakukan evaluasi state, didefinisikan suatu relasi :Untuk Q adalah himpunan semua stateD adalah himpunan state-state distinguishable, dimana D ⊂ QN adalah himpunan state-state indistinguishable, dimana N ⊂ Qx ∈ Njika x ∈ Q dan x ∉ D
Step :• Hapuslah semua state yg tidak dapat dicapai dari state awal (useless state)• Buatlah semua pasangan state (p, q) yang distinguishable, dimana p ∈ F dan q ∉F. Catat semua pasangan-pasangan state tersebut.• Cari state lain yang distinguishable dengan aturan: “Untuk semua (p, q) dan semua a ∈ ∑, hitunglah δ (p, a) = pa dan δ (q, a) = qa” Jika pasangan (pa, qa) adalah pasangan state yang distinguishable maka pasangan (p, q) juga termasuk pasangan yang distinguishable.• Semua pasangan state yang tidak termasuk sebagai state yang distinguishable merupakanstate-state indistinguishable.• Beberapa state yang indistinguishable dapat digabungkan menjadi satu state.•Sesuaikan transisi dari state-state gabungan tersebut.
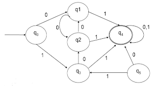
Contoh :
Sebuah Mesin DFA
Lakukan Reduksi State pada DFA di atas?
Jawab :
1. State q5 tidak dapat dicapai dari state awal dengan jalan apapun (useless state). Hapus state q5.
2. Catat state-state distinguishable, yaitu :
q4 ∈ F sedang q0, q1, q2, q3 ∉F sehingga pasangan
(q0, q4) (q1, q4) (q2, q4) dan (q3, q4) adalah distinguishable.
q4 ∈ F sedang q0, q1, q2, q3 ∉F sehingga pasangan
(q0, q4) (q1, q4) (q2, q4) dan (q3, q4) adalah distinguishable.
3. Pasangan-pasangan state lain yang distinguishable diturunkan berdasarkan pasangan dari langkah kedua, yaitu :
- Untuk pasangan (q0, q1)
δ(q0, 0) = q1 dan δ(q1, 0) = q2 → belum teridentifikasi
δ(q0, 1) = q3 dan δ(q1, 1) = q4 → (q3, q4) distinguishable
maka (q0, q1) adalah distinguishable.
- Untuk pasangan (q0, q2)
δ(q0, 0) = q1 dan δ(q2, 0) = q1 → belum teridentifikasi
δ(q0, 1) = q3 dan δ(q2, 1) = q4 → (q3, q4) distinguishable
maka (q0, q2) adalah distinguishable.
- Untuk pasangan (q0, q1)
δ(q0, 0) = q1 dan δ(q1, 0) = q2 → belum teridentifikasi
δ(q0, 1) = q3 dan δ(q1, 1) = q4 → (q3, q4) distinguishable
maka (q0, q1) adalah distinguishable.
- Untuk pasangan (q0, q2)
δ(q0, 0) = q1 dan δ(q2, 0) = q1 → belum teridentifikasi
δ(q0, 1) = q3 dan δ(q2, 1) = q4 → (q3, q4) distinguishable
maka (q0, q2) adalah distinguishable.
4. Setelah diperiksa semua pasangan state maka terdapat state-state yang distinguishable : (q0,q1), (q0,q2), (q0,q3), (q0,q4), (q1,q4), (q2,q4), (q3,q4) Karena berdasarkan relasi-relasi yang ada, tidak dapat dibuktikan (q1, q2), (q1, q3) dan (q2, q3) distinguishable, sehingga disimpulkan pasangan-pasangan state tersebut indistinguishable.
5. Karena q1 indistinguishable dengan q2, q2 indistinguishable dengan q3, maka dapat disimpulkan q1, q2, q3 saling indistinguishable dan dapat dijadikan satu state.
6. Berdasarkan hasil diatas makahasil dari DFA yang direduksi menjadi :
Demikian artikel saya kali ini semoga bermanfaat bagi pembaca dan dapat memahami tentang materi tentang finite state automata & non finite state automata.
Daftar Pustaka:
Materi 7 Finite State Automata & Non Finite State Automata [pdf]. Dosen Pengampu: Garno, M.Kom. Fakultas Ilmu Komputer, Universitas Singaperbangsa Karawang.
http://apenginfonet.blogspot.com/2018/05/ekuivalensi-antar-dfa.html
https://www.slideshare.net/ahmadhaidaroh/materi-3-finite-state-automata-135546201
https://slideplayer.info/slide/11994223/
https://socs.binus.ac.id/2019/12/21/teknik-kompilasi-perbedaan-dfa-dan-nfa/




Comments
Post a Comment